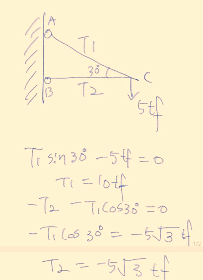
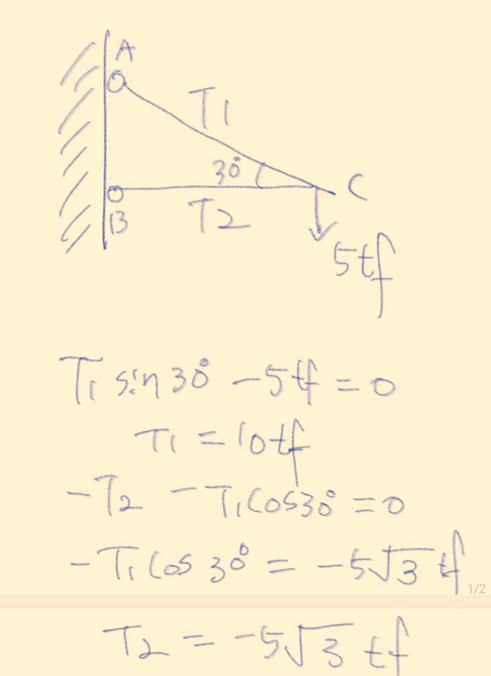
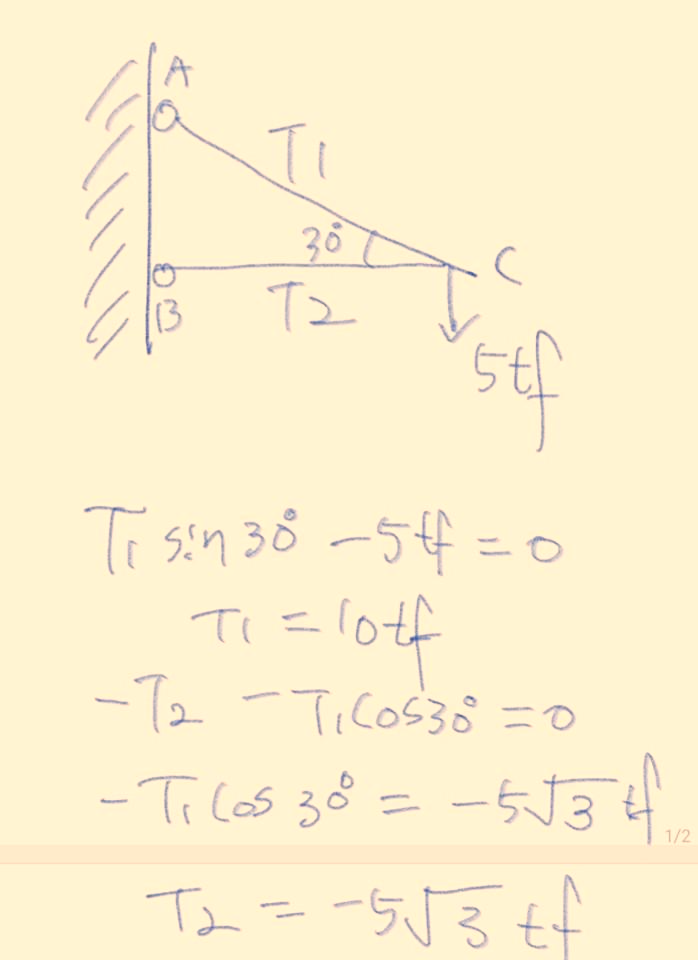
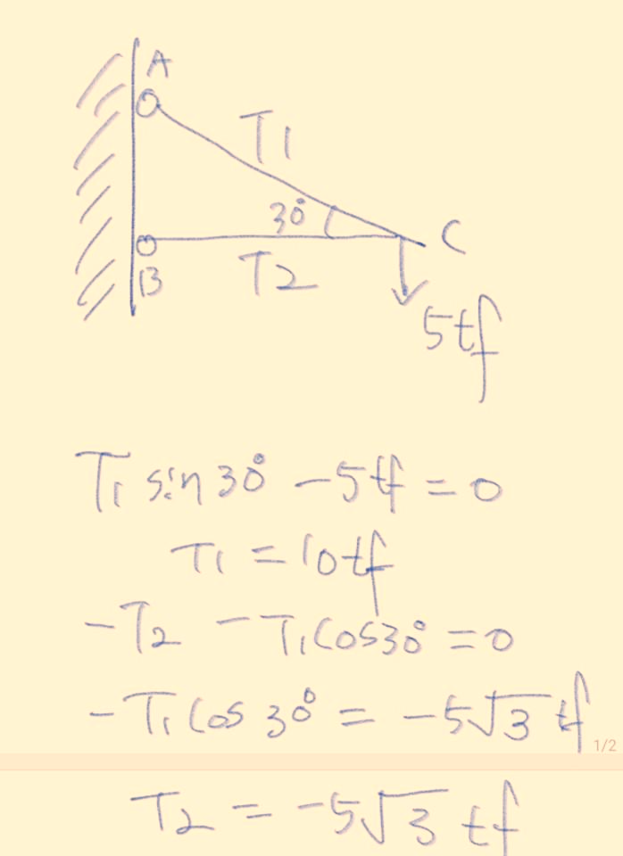
한점에서 두힘이 작용할 경우 합력 구하는 공식
시그마H=0
시그마V=0


A 합력R은 시그마 에이치(H)제곱 플러스 시그마 브이(V) 제곱 루터는 합력 알(R)이 됩니다 이공식은 한 점에서 여려 방향으로 힘이 발생 할때 합력을 구하는 공식입니다. 공식 두번째 B 공식 같은 경우 힘의 방향이 딱 두가지 일 경우에만 가능한 합력 공식입니다. 합력 알은 피완(P1)제곱 플러스 피투(P2)제곱 플러스 이(2)곱하기 피원(P1)곱하기 피투(P2)곱하기 코사인 알파 루터 가 합력 알(R)을 구하는 공식입니다. 공식은 왜우면 되지만 응용 하기 힘들어 하시는 분들이 많아서,........
건축기사 공부하시는 분들 ~
특히 비 전공자 분들은 이해하는데 어려움이 많아서 이렇게 글을 남겨 봅니다.

무슨 말인지 전혀 모르겠다는 분들은 무조건 외우세요
각도가 30일경우 T1sin30 - 5tf=0
-T2 -T1coㄴ30=0
T2=-5√3tf
통~~~~~암기 후 응용......

무조건 외우고 시작합시다..
건축기사 실기에 꼭 나오는 공식
2021/01/27 - [정보 자료방(무료)] - 일용직 노무 지급내역서 양식 무료 다운 받아가세요
2021/01/27 - [정보 자료방(무료)] - 기성청구양식 무료다운받아 가세요
2021/01/26 - [정보 자료방(무료)] - 발주서 양식 회원가입 없이 받아가세요
2021/01/25 - [건축기사 토막지식] - 2021년 건축기사 예상 기출문제 요약
2021/01/21 - [주택상가공장 인테리어/새시(창)] - 샤시 거실창 저렴하게 하는 방법
2021/01/17 - [정보 자료방(무료)] - 용접 아다리 예방 대처법
2021/01/17 - [정보 자료방(무료)/무료정보방] - 팝아트 이미지 무료 다운로드
2021/01/16 - [주택상가공장 인테리어/새시(창)] - EPDM 커튼월 창호에 적용 ,실리콘 고무 비교, epdm가스켓
2021/01/11 - [건축기사 토막지식] - 두힘의 합성 또는 여러힘의 합성 사인 코사인 탄젠트
2021/01/09 - [정보 자료방(무료)/무료정보방] - 인수 인계서 무료다운
2020/12/31 - [정보 자료방(무료)/무료정보방] - 연봉근로계약서 무료 다운받아 가세요
연봉근로계약서 무료 다운받아 가세요
연 봉 근 로 계 약 서 사 용 자 (甲) 성 명 사업의 종류 사업체명 소 재 지 근 로 자 (乙) 성 명 주민등록번호 주 소 제 1조(고용계약) 근로자 (乙)은 사용자(甲)의 ○○ 업무에 관하여 노무를 제공할
exchrome88.com
'건축기사 토막지식' 카테고리의 다른 글
| 2021년 건축기사 예상 기출문제 요약 (0) | 2021.01.25 |
|---|---|
| 컨시스턴시 콘크리트의 성질 (0) | 2020.12.30 |
| 전선공사방법 (0) | 2020.10.05 |
댓글